Amidas Generalidades


Instrucciones a seguir si en esta página hay modelos moleculares

  • A continuación se describen las diferentes formas de representación de la molécula utilizando Jsmol.
  • Haga clic en la (+) del cuadro verde para extenderlo y poder leer la descripción.

  • Para cerrar el cuadro, haga clic en el signo (-).

Instrucciones

Usted tiene las siguientes opciones en este simulador para moléculas pequeñas tanto inorgánicas como orgánicas.

  • En la parte superior, aparecen los botones 2D y 3D para que pueda observar el modelo en dos o tres dimensiones.
  • A continuación se presenta el modelo en dos o tres dimensiones.
  • "Search" puede ser utilizado para buscar alguna molécula, escribiendo el nombre en inglés, por ejemplo al escribir, sulphuric acid (ácido sulfúrico).
  • Color de fondo, sirve seleccionar el color del fondo del modelo en tres dimensiones.
  • Acercar +, acerca el modelo.
  • Acercar -, aleja el modelo.
  • Girar X, Y, Z, para girar el modelo en tres dimensiones en los ejes x, y, z.
  • Alambres, varillas y pelotas y varillas, para cambiar el modelo en tres dimensiones en esas representaciones.
  • Energía, aparce en la parte superior la energía de la molécula en kJ/mol o kcal/mol.
  • Minmizar por MMFF94, normalmente las estructuras iniciales que se crean en los simuladores poseen energías mucho mayores a las que tendría un objeto real, por esta razón, se utilizan algoritmos para calcular las posiciones y fuerzas originales, con el objetivo de minimizarlas y que sean más realistas.
  • Arrastrar Minimizar, usted puede arrastrar un átomo, soltarlo y entonces el sistema hace un cálculo de minimización de energía.
  • Simetría, muestra los planos de simetría en la molécula.
  • Editar, puede editar la molécula agragando o quitando átomos y enlaces.
  • Superficie VDW, la superficie de van der Waals de una molécula es una representación abstracta o modelo de esa molécula, que ilustra dónde, en términos muy generales, podría haber una superficie para la molécula en función de los cortes duros de los radios de van der Waals para átomos individuales, y representa una superficie a través de la cual la molécula podría concebirse interactuando con otras moléculas.
  • Photo
  • PEM es el mapa de potencial electrostático.
  • Carga parcial calcula la carga parcial de cada átomo.
  • Tetraedros, para el caso que exista alguna átomo tetraédrico.
  • Dipolos enlaces, para ver el los dipolos de todos los enlaces.
  • Dipolo molecular, para ver el momento dipolar resultante de toda la molécula.
  • Hibridación sp, sp2 y sp3, para ver la hibridacion del átomo de carbono.
  • Anillo aromático, muestra los anillos aromáticos.
  • Heteroátomo, muestra los heteroátomos en heterociclos.
  • C quiral (nomenclatura R/S) y E/Z para isomería geométrica en alquenos, los descriptores R/S permiten indicar en un compuesto orgánico la configuración (la disposición espacial de los sustituyentes) de un carbono o centro quiral, estereocentro o centro estereogénico, que es el caso de un átomo de carbono con cuatro sustituyentes diferentes. Se añade R o S entre paréntesis como prefijo delante del nombre de la molécula orgánica. En caso de ser más de uno el centro estereogénico, separados por coma se indica el descriptor R o S de cada uno, precedido del número o localizador que identifica su posición.
  • Invertir R/S, para cambiar la quiralidad.
  • Nomenclatura E/Z en Alquenos, el sistema tradicional para nombrar los isómeros geométricos de un alqueno, en el que los mismos grupos están dispuestos de manera diferente, es nombrarlos como cis o trans. Sin embargo, es fácil encontrar ejemplos donde el sistema cis-trans no se aplica fácilmente.
  • N electrones, O electrones y S electrones, para ver los electrones libres del nitrógeno, oxígeno y azufre.
  • C primario, C secundario, C terciario, C cuaternario, identifica la clasificación de los átomos de carbono.
  • Dadores y aceptores de puentes de hidrógeno, señala los átomos que pueden dar o aceptar puentes de hidrógeno
  • Botón 2D, cuando escoge el botón 2D, la aplicación tiene su propio menú y quedan inhabilitados todos los botones 3D.

Amidas

Las amidas son derivados de los ácidos carboxílicos. Todas las amidas contienen un átomo de nitrógeno unido a un grupo carbonilo. La fórmula general de una amida es:

Photo

Si uno de los átomos de hidrógeno que está unido al átomo de nitrógeno se remplaza por un grupo R´ , se produce una amida monosustituida. Si ambos átomos de hidrógeno se remplazan por grupos R´ , se produce una amida disustituida.

Photo

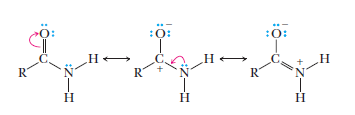
Las amidas tienen características estructurales que son únicas entre los derivados de los ácidos carboxílicos. A finales de 1930 Linus Pauling descubrió que los ángulos de enlace en el átomo de nitrógeno de una amida en una proteína son cercanos a 120°; el átomo de nitrógeno es trigonal plano y tiene hibridación sp2. En la actualidad se sabe que las amidas se pueden representar de mejor forma como un híbrido de tres estructuras de resonancia.

Photo
Estructuras de resonancia de las amidas

El hecho de que los seis átomos de un enlace amida son planos con de 120° significa que la estructura de resonancia hace una gran contribución al híbrido, y que el híbrido de resonancia se parece más a la tercera estructura. Esta tercera estructura explica por qué el nitrógeno de la amida posee una hibridación sp2 y por lo tanto, . La presencia de un doble enlace (enlace π) en el híbrido de resonancia indica que hay una restricción en la rotación del enlace C — N a temperatura ambiente. Además de lo anterior, el par de electrones libres del nitrógeno está deslocalizado formando un enlace π por lo que los nitrógenos de las amidas no son básicos como para reaccionar con protones u otros ácidos de Lewis. De hecho, cuando las amidas están en solución ácida, estas son protonadas en el átomo de oxígeno carbonílico en lugar del nitrógeno. Finalmente, la deslocalización del par de electrones del nitrógeno reduce el carácter electrofílico (carga parcial positiva, color azul) en el carbono carbonílico, reduciendo la posibilidad de ataques nucleofílicos a las amidas.

Photo
Características del grupo funcional amida

En cuanto a la polaridad, la formamida es una molécula polar con un momento dipolar de 3.73 Debyes debido a la presencia del grupo funcional carbonilo (C=O) y del grupo amino (NH2). El átomo de oxígeno tiene una alta electronegatividad, lo que le confiere una carga parcial negativa, mientras que el hidrógeno del grupo amino tiene una carga parcial positiva como se puede observar en el mapa de potencial electrostático PEM en el siguiente simulador. Estas diferencias de electronegatividad crean una distribución desigual de las cargas eléctricas en la molécula, generando un momento dipolar.

Photo
Mapa de potencial electrostático de la formamida.

¡Atención!

Simulador de polaridad de la formamida

...Hacer clic aquí.