Lípidos Ácidos Grasos


Instrucciones

  • A continuación se describen las diferentes formas de representación de la molécula utilizando Jsmol.
  • Haga clic en la (+) del cuadro verde para extenderlo y poder leer la descripción.

  • Para cerrar el cuadro, haga clic en el signo (-).

Instrucciones

Usted tiene las siguientes opciones en este simulador para moléculas pequeñas tanto inorgánicas como orgánicas.

  • En la parte superior, aparecen los botones 2D y 3D para que pueda observar el modelo en dos o tres dimensiones.
  • A continuación se presenta el modelo en dos o tres dimensiones.
  • "Search" puede ser utilizado para buscar alguna molécula, escribiendo el nombre en inglés, por ejemplo al escribir, sulphuric acid (ácido sulfúrico).
  • Color de fondo, sirve seleccionar el color del fondo del modelo en tres dimensiones.
  • Acercar +, acerca el modelo.
  • Acercar -, aleja el modelo.
  • Girar X, Y, Z, para girar el modelo en tres dimensiones en los ejes x, y, z.
  • Alambres, varillas y pelotas y varillas, para cambiar el modelo en tres dimensiones en esas representaciones.
  • Energía, aparce en la parte superior la energía de la molécula en kJ/mol o kcal/mol.
  • Minmizar por MMFF94, normalmente las estructuras iniciales que se crean en los simuladores poseen energías mucho mayores a las que tendría un objeto real, por esta razón, se utilizan algoritmos para calcular las posiciones y fuerzas originales, con el objetivo de minimizarlas y que sean más realistas.
  • Arrastrar Minimizar, usted puede arrastrar un átomo, soltarlo y entonces el sistema hace un cálculo de minimización de energía.
  • Simetría, muestra los planos de simetría en la molécula.
  • Editar, puede editar la molécula agragando o quitando átomos y enlaces.
  • Superficie VDW, la superficie de van der Waals de una molécula es una representación abstracta o modelo de esa molécula, que ilustra dónde, en términos muy generales, podría haber una superficie para la molécula en función de los cortes duros de los radios de van der Waals para átomos individuales, y representa una superficie a través de la cual la molécula podría concebirse interactuando con otras moléculas.
  • Photo
  • PEM es el mapa de potencial electrostático.
  • Tetraedros, para el caso que exista alguna átomo tetraédrico.
  • Dipolos enlaces, para ver el los dipolos de todos los enlaces.
  • Dipolo molecular, para ver el momento dipolar resultante de toda la molécula.
  • Hibridación sp, sp2 y sp3, para ver la hibridacion del átomo de carbono.
  • C quiral (nomenclatura R/S) y E/Z para isomería geométrica en alquenos, los descriptores R/S permiten indicar en un compuesto orgánico la configuración (la disposición espacial de los sustituyentes) de un carbono o centro quiral, estereocentro o centro estereogénico, que es el caso de un átomo de carbono con cuatro sustituyentes diferentes. Se añade R o S entre paréntesis como prefijo delante del nombre de la molécula orgánica. En caso de ser más de uno el centro estereogénico, separados por coma se indica el descriptor R o S de cada uno, precedido del número o localizador que identifica su posición.
  • Invertir R/S, para cambiar la quiralidad.
  • Nomenclatura E/Z en Alquenos, el sistema tradicional para nombrar los isómeros geométricos de un alqueno, en el que los mismos grupos están dispuestos de manera diferente, es nombrarlos como cis o trans. Sin embargo, es fácil encontrar ejemplos donde el sistema cis-trans no se aplica fácilmente.
  • N electrones, O electrones y S electrones, para ver los electrones libres del nitrógeno, oxígeno y azufre.
  • C primario, C secundario, C terciario, C cuaternario, identifica la clasificación de los átomos de carbono.
  • Dadores y aceptores de puentes de hidrógeno, señala los átomos que pueden dar o aceptar puentes de hidrógeno
  • Botón 2D, cuando escoge el botón 2D, la aplicación tiene su propio menú y quedan inhabilitados todos los botones 3D.

Lípidos

¡Atención!

Los ácidos grasos en los seres vivos son generalmente ácidos carboxílicos no ramificados, saturados o insaturados, con un número par de átomos de carbono entre 12 y 24.

Los ácidos grasos con 10 o más átomos de carbono son sólidos a temperatura ambiente. Los ácidos grasos insaturados tienen puntos de fusión menores que los de los ácidos saturados correspondientes y, en la mayoría de los casos, son líquidos a temperatura ambiente. La diferencia en los puntos de fusión de los ácidos grasos saturados y de los insaturados se explica en términos del grado de organización de las moléculas en la red cristalina sólida. Los dobles enlaces en las moléculas de los ácidos grasos insaturados los hacen menos compactos que los ácidos grasos saturados. Por lo tanto, los ácidos grasos saturados no encajan en la red cristalina tan bien como lo hacen las moléculas de los ácidos grasos saturados. En consecuencia, los ácidos grasos insaturados entran más difícilmente al estado sólido.

Los ácidos grasos tienen las siguientes fórmulas generales:

Photo

Los ácidos grasos no existen en forma aislada en la naturaleza; generalmente se encuentran enlazados a alcoholes en forma de ésteres en otras clases de lípidos.

  • Nombre UIQPA: ácido dodecanoico

    Abreviatura: C12

    Fórmula abreviada: C11H23COOH

    Photo

    Nombre UIQPA: ácido tetradecanoico

    Abreviatura: C14

    Fórmula abreviada: C13H27COOH

    Photo

    Nombre UIQPA: ácido hexadecanoico

    Abreviatura: C16

    Fórmula abreviada: C15H31COOH

    Photo

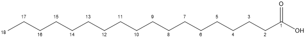
    Nombre UIQPA: ácido octadecanoico

    abreviatura: C18

    Fórmula abreviada: C17H35COOH
    Photo

    Nombre UIQPA: ácido eicosanoico

    Abreviatura: C20

    Fórmula abreviada: C19H38COOH

    Photo

    Photo

    Nombre UIQPA: 9-cis-hexadecenoico

    Abreviatura: C16:1Δ 9

    Fórmula abreviada: C15H29COOH

    Photo

    Nombre UIQPA: 9-cis-octadecenoico

    Abreviatura: C18:1Δ 9

    Fórmula abreviada: C17H33COOH
    Photo

    Nombre UIQPA: 9,12 todo-cis-octadecadienoico

    Abreviatura: C18:2Δ 9,12

    Fórmula abreviada: C17H31COOH
    Photo

    Nombre UIQPA: 9,12,15 todo-cis-octadecatrienoico

    Abreviatura: C18:3Δ 9,12,15

    Fórmula abreviada: C17H29COOH
    Photo

    Nombre UIQPA: 5,8,11,14 todo-cis-eicosatetraenoico

    Abreviatura: C20:4Δ5,8,11,14

    Fórmula abreviada: C19H31COOH
    Photo

    Nombre UIQPA: Ácido docosa-4,7,10,13,16,19-todo-cis-hexaenoico

    Otros nombres: ácido cervónico, DHA

    Abreviatura: C22:6Δ 4,7,10,13,16,19

    Fórmula abreviada: C21H31COOH
    Photo

    Nombre UIQPA: Ácido Ácido eicosa-5,8,11,14,17-todo-cispentaenoico

    Otros nombres: EPA

    Abreviatura: C20:5Δ 5,8,11,14,17

    Fórmula abreviada: C19H29COOH
    Photo

    Photo

    Ácidos Grasos Omega (ω)

    Se refiere a la posición del primer doble enlace a partir del extremo hidrocarbonado (o CH3 terminal) opuesto al grupo -COOH Ejemplo: Este es un ácido ω3, CH3-CH2-CH=CH-(CH2)9-COOH. Se ha comprobado que estos ácidos (ω3 u ω6) tienen una acción protectora del sistema cardiovascular.

    Photo

    Ácidos Grasos Esenciales

    Los ácidos grasos esenciales son aquellos ácidos grasos necesarios para ciertas funciones y que el organismo no puede sintetizar, por lo que deben obtenerse por medio de la dieta. Se trata de ácidos grasos poliinsaturados con todos los dobles enlaces en posición cis. Los únicos dos ácidos grasos esenciales para el ser humano son el linolénico (18 : 3 ω-3) y el linoleico (18 : 2 ω-6). Si estos se suministran, el organismo humano puede sintetizar el resto de ácidos grasos que necesita.