Aromáticos Portada


Instrucciones

  • A continuación se describen las diferentes formas de representación de la molécula utilizando Jsmol.
  • Haga clic en la (+) del cuadro verde para extenderlo y poder leer la descripción.

  • Para cerrar el cuadro, haga clic en el signo (-).

Instrucciones

Usted tiene las siguientes opciones en este simulador para moléculas pequeñas tanto inorgánicas como orgánicas.

  • En la parte superior, aparecen los botones 2D y 3D para que pueda observar el modelo en dos o tres dimensiones.
  • A continuación se presenta el modelo en dos o tres dimensiones.
  • "Search" puede ser utilizado para buscar alguna molécula, escribiendo el nombre en inglés, por ejemplo al escribir, sulphuric acid (ácido sulfúrico).
  • Color de fondo, sirve seleccionar el color del fondo del modelo en tres dimensiones.
  • Acercar +, acerca el modelo.
  • Acercar -, aleja el modelo.
  • Girar X, Y, Z, para girar el modelo en tres dimensiones en los ejes x, y, z.
  • Alambres, varillas y pelotas y varillas, para cambiar el modelo en tres dimensiones en esas representaciones.
  • Energía, aparce en la parte superior la energía de la molécula en kJ/mol o kcal/mol.
  • Minmizar por MMFF94, normalmente las estructuras iniciales que se crean en los simuladores poseen energías mucho mayores a las que tendría un objeto real, por esta razón, se utilizan algoritmos para calcular las posiciones y fuerzas originales, con el objetivo de minimizarlas y que sean más realistas.
  • Arrastrar Minimizar, usted puede arrastrar un átomo, soltarlo y entonces el sistema hace un cálculo de minimización de energía.
  • Simetría, muestra los planos de simetría en la molécula.
  • Editar, puede editar la molécula agragando o quitando átomos y enlaces.
  • Superficie VDW, la superficie de van der Waals de una molécula es una representación abstracta o modelo de esa molécula, que ilustra dónde, en términos muy generales, podría haber una superficie para la molécula en función de los cortes duros de los radios de van der Waals para átomos individuales, y representa una superficie a través de la cual la molécula podría concebirse interactuando con otras moléculas.
  • Photo
  • PEM es el mapa de potencial electrostático.
  • Tetraedros, para el caso que exista alguna átomo tetraédrico.
  • Dipolos enlaces, para ver el los dipolos de todos los enlaces.
  • Dipolo molecular, para ver el momento dipolar resultante de toda la molécula.
  • Hibridación sp, sp2 y sp3, para ver la hibridacion del átomo de carbono.
  • Anillo aromático, muestra los anillos aromáticos.
  • Heteroátomo, muestra los heteroátomos en heterociclos.
  • C quiral (nomenclatura R/S) y E/Z para isomería geométrica en alquenos, los descriptores R/S permiten indicar en un compuesto orgánico la configuración (la disposición espacial de los sustituyentes) de un carbono o centro quiral, estereocentro o centro estereogénico, que es el caso de un átomo de carbono con cuatro sustituyentes diferentes. Se añade R o S entre paréntesis como prefijo delante del nombre de la molécula orgánica. En caso de ser más de uno el centro estereogénico, separados por coma se indica el descriptor R o S de cada uno, precedido del número o localizador que identifica su posición.
  • C quiral (nomenclatura R/S) y E/Z para isomería geométrica en alquenos, los descriptores R/S permiten indicar en un compuesto orgánico la configuración (la disposición espacial de los sustituyentes) de un carbono o centro quiral, estereocentro o centro estereogénico, que es el caso de un átomo de carbono con cuatro sustituyentes diferentes. Se añade R o S entre paréntesis como prefijo delante del nombre de la molécula orgánica. En caso de ser más de uno el centro estereogénico, separados por coma se indica el descriptor R o S de cada uno, precedido del número o localizador que identifica su posición.
  • Invertir R/S, para cambiar la quiralidad.
  • Nomenclatura E/Z en Alquenos, el sistema tradicional para nombrar los isómeros geométricos de un alqueno, en el que los mismos grupos están dispuestos de manera diferente, es nombrarlos como cis o trans. Sin embargo, es fácil encontrar ejemplos donde el sistema cis-trans no se aplica fácilmente.
  • N electrones, O electrones y S electrones, para ver los electrones libres del nitrógeno, oxígeno y azufre.
  • C primario, C secundario, C terciario, C cuaternario, identifica la clasificación de los átomos de carbono.
  • Dadores y aceptores de puentes de hidrógeno, señala los átomos que pueden dar o aceptar puentes de hidrógeno
  • Botón 2D, cuando escoge el botón 2D, la aplicación tiene su propio menú y quedan inhabilitados todos los botones 3D.

Compuestos Aromáticos

Caso Clínico

Cáncer Causado por Benzo(a)pireno

El benzo(a)pireno es un compuesto orgánico que se encuentra en el humo del tabaco, la contaminación del aire y en algunos alimentos cocinados a altas temperaturas, como la carne asada. Es un conocido carcinógeno, lo que significa que puede causar cáncer. En este artículo, se presentará un caso clínico de un paciente que desarrolló cáncer relacionado con el benzo(a)pireno.

Photo

El paciente era un hombre de 62 años que había sido fumador durante más de 40 años. También había trabajado en una fábrica de productos químicos durante 20 años, donde estuvo expuesto regularmente al benzo(a)pireno. El paciente tenía antecedentes familiares de cáncer de pulmón y había desarrollado una tos persistente, pérdida de peso y fatiga.

El paciente se sometió a una serie de pruebas diagnósticas, incluyendo radiografías de tórax, tomografías computarizadas y una biopsia de tejido pulmonar. Los resultados de estas pruebas revelaron la presencia de un tumor maligno en el pulmón derecho. El paciente fue diagnosticado con cáncer de pulmón de células no pequeñas en estadio avanzado.

Photo
Cáncer de pulmón causado por benzo(a)pireno.

Se le informó al paciente que el cáncer de pulmón estaba relacionado con su exposición al benzopireno en su trabajo anterior y su hábito de fumar. Se inició un tratamiento agresivo con quimioterapia y radioterapia, pero a pesar de los esfuerzos de los médicos, el cáncer avanzó rápidamente y el paciente falleció seis meses después del diagnóstico.

Discusión:

El benzo(a)pireno es un carcinógeno conocido que puede causar cáncer de pulmón y otros tipos de cáncer. Los fumadores y las personas que están expuestas al benzo(a)pireno en el trabajo tienen un mayor riesgo de desarrollar cáncer relacionado con este compuesto. En este caso clínico, el paciente tenía antecedentes de exposición al benzo(a)pireno en su trabajo y había sido un fumador de larga duración. Estos factores aumentaron su riesgo de desarrollar cáncer de pulmón. A pesar de los esfuerzos de los médicos, el cáncer avanzó rápidamente y el paciente falleció seis meses después del diagnóstico.

Conclusión:

El benzo(a)pireno es un carcinógeno conocido que puede causar cáncer de pulmón y otros tipos de cáncer. Es importante que las personas eviten la exposición a este compuesto tanto como sea posible, especialmente los fumadores y las personas que trabajan en ambientes en los que están expuestos regularmente al benzo(a)pireno.

Los médicos deben ser conscientes de la relación entre la exposición al benzo(a)pireno y el cáncer y preguntar a sus pacientes sobre su historial de exposición a este compuesto. Además, se debe fomentar la prevención del tabaquismo y la adopción de hábitos saludables para reducir el riesgo de desarrollar cáncer relacionado con el benzopireno.

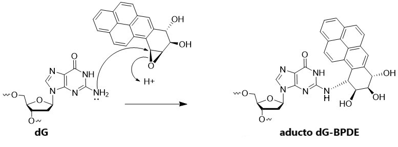
Interacción con el ADN

Hablando con propiedad, el benzo(a)pireno es un procarcinógeno, lo que significa que su mecanismo de carcinogénesis depende de su metabolismo enzimático al epóxido de benzo(a)pireno diol. Se intercala en el ADN y el epóxido electrofílico es atacado por bases nucleofílicas de guanina, formando un voluminoso aducto de guanina.

Photo

Photo

Los estudios de estructura de resonancia magnética nuclear y cristalografía de rayos X han demostrado cómo esta unión distorsiona el ADN al confundir la estructura de doble hélice del ADN. Esto interrumpe el proceso normal de copia del ADN y provoca mutaciones, lo que explica la aparición de cáncer después de la exposición.

Photo

Lo último en tecnología computacional a tu servicio