Compuestos Aromáticos Propiedades Químicas


Instrucciones a seguir si en esta página hay modelos moleculares

  • A continuación se describen las diferentes formas de representación de la molécula utilizando Jsmol.
  • Haga clic en la (+) del cuadro verde para extenderlo y poder leer la descripción.

  • Para cerrar el cuadro, haga clic en el signo (-).

Instrucciones

Usted tiene las siguientes opciones en este simulador para moléculas pequeñas tanto inorgánicas como orgánicas.

  • En la parte superior, aparecen los botones 2D y 3D para que pueda observar el modelo en dos o tres dimensiones.
  • A continuación se presenta el modelo en dos o tres dimensiones.
  • "Search" puede ser utilizado para buscar alguna molécula, escribiendo el nombre en inglés, por ejemplo al escribir, sulphuric acid (ácido sulfúrico).
  • Color de fondo, sirve seleccionar el color del fondo del modelo en tres dimensiones.
  • Acercar +, acerca el modelo.
  • Acercar -, aleja el modelo.
  • Girar X, Y, Z, para girar el modelo en tres dimensiones en los ejes x, y, z.
  • Alambres, varillas y pelotas y varillas, para cambiar el modelo en tres dimensiones en esas representaciones.
  • Energía, aparce en la parte superior la energía de la molécula en kJ/mol o kcal/mol.
  • Minmizar por MMFF94, normalmente las estructuras iniciales que se crean en los simuladores poseen energías mucho mayores a las que tendría un objeto real, por esta razón, se utilizan algoritmos para calcular las posiciones y fuerzas originales, con el objetivo de minimizarlas y que sean más realistas.
  • Arrastrar Minimizar, usted puede arrastrar un átomo, soltarlo y entonces el sistema hace un cálculo de minimización de energía.
  • Simetría, muestra los planos de simetría en la molécula.
  • Editar, puede editar la molécula agragando o quitando átomos y enlaces.
  • Superficie VDW, la superficie de van der Waals de una molécula es una representación abstracta o modelo de esa molécula, que ilustra dónde, en términos muy generales, podría haber una superficie para la molécula en función de los cortes duros de los radios de van der Waals para átomos individuales, y representa una superficie a través de la cual la molécula podría concebirse interactuando con otras moléculas.
  • Photo
  • PEM es el mapa de potencial electrostático.
  • Tetraedros, para el caso que exista alguna átomo tetraédrico.
  • Dipolos enlaces, para ver el los dipolos de todos los enlaces.
  • Dipolo molecular, para ver el momento dipolar resultante de toda la molécula.
  • Hibridación sp, sp2 y sp3, para ver la hibridacion del átomo de carbono.
  • Anillo aromático, muestra los anillos aromáticos.
  • Heteroátomo, muestra los heteroátomos en heterociclos.
  • C quiral (nomenclatura R/S) y E/Z para isomería geométrica en alquenos, los descriptores R/S permiten indicar en un compuesto orgánico la configuración (la disposición espacial de los sustituyentes) de un carbono o centro quiral, estereocentro o centro estereogénico, que es el caso de un átomo de carbono con cuatro sustituyentes diferentes. Se añade R o S entre paréntesis como prefijo delante del nombre de la molécula orgánica. En caso de ser más de uno el centro estereogénico, separados por coma se indica el descriptor R o S de cada uno, precedido del número o localizador que identifica su posición.
  • C quiral (nomenclatura R/S) y E/Z para isomería geométrica en alquenos, los descriptores R/S permiten indicar en un compuesto orgánico la configuración (la disposición espacial de los sustituyentes) de un carbono o centro quiral, estereocentro o centro estereogénico, que es el caso de un átomo de carbono con cuatro sustituyentes diferentes. Se añade R o S entre paréntesis como prefijo delante del nombre de la molécula orgánica. En caso de ser más de uno el centro estereogénico, separados por coma se indica el descriptor R o S de cada uno, precedido del número o localizador que identifica su posición.
  • Invertir R/S, para cambiar la quiralidad.
  • Nomenclatura E/Z en Alquenos, el sistema tradicional para nombrar los isómeros geométricos de un alqueno, en el que los mismos grupos están dispuestos de manera diferente, es nombrarlos como cis o trans. Sin embargo, es fácil encontrar ejemplos donde el sistema cis-trans no se aplica fácilmente.
  • N electrones, O electrones y S electrones, para ver los electrones libres del nitrógeno, oxígeno y azufre.
  • C primario, C secundario, C terciario, C cuaternario, identifica la clasificación de los átomos de carbono.
  • Dadores y aceptores de puentes de hidrógeno, señala los átomos que pueden dar o aceptar puentes de hidrógeno
  • Botón 2D, cuando escoge el botón 2D, la aplicación tiene su propio menú y quedan inhabilitados todos los botones 3D.

Compuestos Aromáticos

La reacción más importante de los compuestos aromáticos es la sustitución electrofílica aromática. Esto es, un electrófilo (E+ ) reacciona con un anillo aromático y sustituye uno de los hidrógenos.

Por medio de este tipo de reacción de sustitución electrofílica es posible introducir muchos sustituyentes distintos en el anillo aromático. Seleccionando las condiciones y los reactivos apropiados, el anillo aromático puede reaccionar de la siguiente forma:

Photo

Nitración

El benceno experimenta nitración (sustituir con un grupo nitro: -NO2 ) cuando se trata con HNO3 concentrado. El ácido de Lewis catalizador en esta reacción es el H2SO4 concentrado.

Photo

Mecanismo de Reacción

Photo
Photo

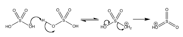
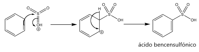
Sulfonación

El benceno reacciona lentamente con ácido sulfúrico para dar ácido bencenosulfónico. La reacción comienza con la protonación de una molécula de ácido sulfúrico por otra, seguida de la pérdida de una molécula de agua. El catión producido es muy reactivo y se combina con el benceno a través de la adición lenta al anillo aromático, seguido de una rápida pérdida de un protón para regenerar la aromaticidad. El producto contiene el grupo funcional del ácido sulfónico -SO2OH. Eliminar el agua que se va formando en la reacción, por ejemplo, permite que se obtenga ácido bencensulfónico con un rendimiento casi cuantitativo.

Photo

Mecanismo de Reacción

Photo
Photo

Alquilación de Friedel-Crafts

La alquilación de Friedel-Crafts generalmente implica tratar el benceno con un haluro de alquilo secundario o terciario, y el ácido de Lewis AlCl3. En este ejemplo, el ácido de Lewis elimina el átomo de cloruro del ter-butilo, que luego libera el catión t-butilo para la reacción de alquilación. El cloruro luego elimina el protón del intermedio catiónico restaurando la aromaticidad.

Photo

Mecanismo de Reacción

Photo
Photo

Halogenación

El anillo aromático se puede halogenar (sustituir con un halógeno: -Cl, -Br) utilizando un catalizador que es un ácido de Lewis como FeBr3 o FeCl3.La función del catalizador es generar el electrófilo Br+.

Photo Photo

Reacción de Identificación del Anillo Aromático

Para identificar un anillo aromático se puede utilizar la reacción de Friedel-Crafts, que es a una reacción de sustitución electrofílica aromática. Los anillos de benceno pueden alquilarse al hacerlos reaccionar con un cloruro de alquilo en presencia del cloruro de aluminio (ácido de lewis) como catalizador, obteniéndose como producto un hidrocarburo aromático y un haluro de hidrógeno. Ya que para la identificación se utiliza cloroformo como cloruro de alquilo se produce la formación de un derivado del ion triarilmetilo, el cual es el causante de la coloración observada en el test, lo que indica que se ha producido una reacción positiva.

Cuando reacciona un hidrocarburo aromático con cloroformo y cloruro de aluminio, dependiendo del hidrocarburo aromático se obtienen los siguientes colores:

Compuesto Aromático Color
Fenantreno Púrpura
Antraceno Verde
Naftaleno Azul
Benceno Anaranjado a rojo
Photo Photo