Instrucciones
Usted tiene las siguientes opciones en este simulador para moléculas pequeñas tanto inorgánicas como orgánicas.
- En la parte superior, aparecen los botones 2D y 3D para que pueda observar el modelo en dos o tres dimensiones.
- A continuación se presenta el modelo en dos o tres dimensiones.
- "Search" puede ser utilizado para buscar alguna molécula, escribiendo el nombre en inglés, por ejemplo al escribir, sulphuric acid (ácido sulfúrico).
- Color de fondo, sirve seleccionar el color del fondo del modelo en tres dimensiones.
- Acercar +, acerca el modelo.
- Acercar -, aleja el modelo.
- Girar X, Y, Z, para girar el modelo en tres dimensiones en los ejes x, y, z.
- Alambres, varillas y pelotas y varillas, para cambiar el modelo en tres dimensiones en esas representaciones.
- Energía, aparce en la parte superior la energía de la molécula en kJ/mol o kcal/mol.
- Minmizar por MMFF94, normalmente las estructuras iniciales que se crean en los simuladores poseen energías mucho mayores a las que tendría un objeto real, por esta razón, se utilizan algoritmos para calcular las posiciones y fuerzas originales, con el objetivo de minimizarlas y que sean más realistas.
- Arrastrar Minimizar, usted puede arrastrar un átomo, soltarlo y entonces el sistema hace un cálculo de minimización de energía.
- Simetría, muestra los planos de simetría en la molécula.
- Editar, puede editar la molécula agragando o quitando átomos y enlaces.
- Superficie VDW, la superficie de van der Waals de una molécula es una representación abstracta o modelo de esa molécula, que ilustra dónde, en términos muy generales, podría haber una superficie para la molécula en función de los cortes duros de los radios de van der Waals para átomos individuales, y representa una superficie a través de la cual la molécula podría concebirse interactuando con otras moléculas.
- PEM es el mapa de potencial electrostático.
- Carga parcial calcula la carga parcial de cada átomo.
- Tetraedros, para el caso que exista alguna átomo tetraédrico.
- Dipolos enlaces, para ver el los dipolos de todos los enlaces.
- Dipolo molecular, para ver el momento dipolar resultante de toda la molécula.
- Hibridación sp, sp2 y sp3, para ver la hibridacion del átomo de carbono.
- Anillo aromático, muestra los anillos aromáticos.
- Heteroátomo, muestra los heteroátomos en heterociclos.
- C quiral (nomenclatura R/S) y E/Z para isomería geométrica en alquenos, los descriptores R/S permiten indicar en un compuesto orgánico la configuración (la disposición espacial de los sustituyentes) de un carbono o centro quiral, estereocentro o centro estereogénico, que es el caso de un átomo de carbono con cuatro sustituyentes diferentes. Se añade R o S entre paréntesis como prefijo delante del nombre de la molécula orgánica. En caso de ser más de uno el centro estereogénico, separados por coma se indica el descriptor R o S de cada uno, precedido del número o localizador que identifica su posición.
- Invertir R/S, para cambiar la quiralidad.
- Nomenclatura E/Z en Alquenos, el sistema tradicional para nombrar los isómeros geométricos de un alqueno, en el que los mismos grupos están dispuestos de manera diferente, es nombrarlos como cis o trans. Sin embargo, es fácil encontrar ejemplos donde el sistema cis-trans no se aplica fácilmente.
- N electrones, O electrones y S electrones, para ver los electrones libres del nitrógeno, oxígeno y azufre.
- C primario, C secundario, C terciario, C cuaternario, identifica la clasificación de los átomos de carbono.
- Dadores y aceptores de puentes de hidrógeno, señala los átomos que pueden dar o aceptar puentes de hidrógeno
- Botón 2D, cuando escoge el botón 2D, la aplicación tiene su propio menú y quedan inhabilitados todos los botones 3D.
Alcoholes
Deshidratación
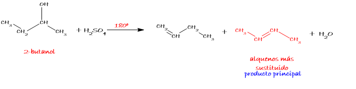
Un alcohol puede transformarse en un alqueno por la eliminación de una molécula de agua de los átomos de carbono adyacentes. La eliminación del agua se llama deshidratación. En el laboratorio, la deshidratación de un alcohol se produce con mayor frecuencia calentándolo con ácido fosfórico al 85% o con ácido sulfúrico concentrado. Los alcoholes primarios son los más difíciles de deshidratar, y generalmente, requieren de calentamiento con ácido sulfúrico concentrado a temperaturas de 180°C.
Los alcoholes secundarios experimentan deshidratación catalizada con ácido a temperaturas ligeramente inferiores. Para realizar la deshidratación catalizada con ácido con alcoholes terciarios a menudo se requieren temperaturas tan sólo ligeramente más altas que la temperatura ambiente.
De este modo, la deshidratación catalizada con ácido de los alcoholes se efectúa con más facilidad en los alcoholes terciarios que en alcoholes primarios.
Cuando se obtienen alquenos isoméricos de la deshidratación catalizada con ácido de un alcohol, generalmente predomina el alqueno que tiene el mayor número de sustituyentes sobre el sobre el doble enlace; es decir, la deshidratación de los alcoholes catalizada con ácido sigue la regla de Zaitsev.
Oxidación de Alcoholes Primarios y Secundarios
Un alcohol primario puede oxidarse para formar un aldehído o un ácido carboxílico, dependiendo de las condiciones experimentales. Los alcoholes secundarios se oxidan para formar cetonas, y los alcoholes terciarios no se oxidan. A continuación se da una serie de transformaciones en las cuales el alcohol primario se oxida, primero, para aldehído y, después, para dar ácido carboxílico. El hecho de que en cada transformación se efectúa una oxidación indica mediante el símbolo O entre paréntesis cuadrados sobre la flecha de reacción.
Reacción de oxidación con permanganato de potasio. Formación de precipitado con alcohol etílico, isopropílico y metílico (en ese orden)
Reacción de oxidación con permanganato de potasio. Resultado negativo de la prueba.
Oxidación de los alcoholes en los seres vivos
Muchos procesos biológicos implican la oxidación de alcoholes a compuestos carbonílicos o el proceso inverso, reducción de compuestos carbonílicos a alcoholes. El etanol, por ejemplo, se metaboliza en el hígado a acetaldehído en una reacción catalizada por la enzima alcohol deshidrogenasa.
Simulador de la Alcohol Deshidrogenasa
Reacción de oxidación con permanganato de potasio. Resultado negativo de la prueba.
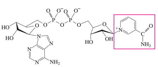
Además de las enzimas, las oxidaciones biológicas requieren sustancias conocidas como coenzimas. Las coenzimas son moléculas orgánicas que, conjuntamente con una enzima, actúan sobre un sustrato para producir un cambio químico. La mayoría de las vitaminas son coenzimas. Una coenzima contiene un grupo funcional que es complementario a un grupo funcional del sustrato; la enzima cataliza la interacción de estos grupos funcionales mutuamente complementarios. Si el etanol se oxida, alguna otra sustancia debe reducirse. Esta otra sustancia es la forma oxidada de la coenzima dinucleótido de nicotinamida y adenina (NAD). Al representar la forma oxidada como NAD+ y la forma reducida como NADH, la ecuación química para la oxidación biológica del etanol puede escribirse:
La estructura de la forma oxidada del dinucleótido de nicotinamida y adenina se puede ver a continuación. La única parte de la coenzima que experimenta un cambio químico en la reacción es el anillo de piridina sustituido de la unidad de nicotinamida (se encuentra en el marco rojo).
El resto de la molécula de la coenzima se representa como R y la reacción oxidación del etanol a acetaldehído es la siguiente:
Prueba de Lucas
El reactivo de Lucas (HCl concentrado /ZnCl2) identifica alcoholes terciarios y secundarios. La reacción es de sustitución formándose una turbidez inmediata con alcoholes terciario, con alcoholes secundarios se forma la turbidez después de calentar y con los primarios, la reacción es tan lenta, que se dice que no reaccionan.
Alcoholes Terciarios
Alcoholes Secundarios
Alcoholes Primarios